CIC фильтры Хогенауэра и их характеристики

Содержание

Введение
В данной статье речь пойдет о каскадных интегрально-гребенчатых фильтрах (cascaded integral-comb filters CIC) Хогенауэра (Hogenauer), нашедшим широкое применение в задачах децимации и интерполяции. Главная отличительная особенность CIC фильтров заключается в том, что они не требуют операций умножения. Это обстоятельство делает CIC фильтры весьма привлекательными при аппаратной реализации на FPGA или DSP.

Фильтр интегратор и гребенчатый фильтр
Для начала рассмотрим два простейших фильтра: БИХ фильтр интегратор и гребенчатый КИХ фильтр.
БИХ фильтр-интегратор задается разностным уравнением:
(1)
где - отсчеты входного сигнала, - выходной сигнал. Схема интегратора представлена на рисунке 1.


Рисунок 1: Структурная схема БИХ фильтра интегратора

Передаточная характеристика интегратора имеет вид:
(2)
Рассмотрим частотную характеристику БИХ фильтра интегратора. Для этого подставим в выражение (2)
(3)
Тогда частотная характеристика равна:
(4)
Учтем, что
(5)
тогда (4) можно представить в виде:
(6)
Тогда амплитудно-частотная и фазо-частотная характеристики интегратора равны:
(7)
На рисунках 2 и 3 представлены амплитудно- и фазо-частотные характеристики фильтра интегратора (АЧХ и ФЧХ).

Для просмотра SVG графики Вам необходимо обновить браузер

Рисунок 2: АЧХ фильтра интегратора

Для просмотра SVG графики Вам необходимо обновить браузер

Рисунок 2: ФЧХ фильтра интегратора

Фильтр интегратор имеет бесконечный коэффициент передачи на нулевой частоте и линейную ФЧХ.
Теперь рассмотрим гребенчатый КИХ — фильтр (comb filter), который задается разностным уравнением:
(8)
где - задержка. Схема гребенчатого фильтра представлена на рисунке 4.


Рисунок 4: Структурная схема гребенчатого фильтра

Блок соответствует линии задержки на отсчетов. Тогда структурную схему гребенчатого фильтра можно представить более развернуто как это показано на рисунке 5.


Рисунок 5: Развернутая структурная схема гребенчатого фильтра

Передаточная характеристика гребенчатого КИХ фильтра имеет вид:
(9)
Рассмотрим частотную характеристику гребенчатого фильтра:
(10)
Амплитудно-частотная и фазочастотная характеристики гребенчатого фильтра равны:
(11)
На рисунках 6-9 представлены амплитудно- и фазо-частотные характеристики гребенчатого фильтра при различном параметре задержки .

Для просмотра SVG графики Вам необходимо обновить браузер


Для просмотра SVG графики Вам необходимо обновить браузер

Рисунок 6: АЧХ и ФЧХ гребенчатого фильтра при



Для просмотра SVG графики Вам необходимо обновить браузер


Для просмотра SVG графики Вам необходимо обновить браузер

Рисунок 7: АЧХ и ФЧХ гребенчатого фильтра при



Для просмотра SVG графики Вам необходимо обновить браузер


Для просмотра SVG графики Вам необходимо обновить браузер

Рисунок 8: АЧХ и ФЧХ гребенчатого фильтра при



Для просмотра SVG графики Вам необходимо обновить браузер


Для просмотра SVG графики Вам необходимо обновить браузер

Рисунок 9: АЧХ и ФЧХ гребенчатого фильтра при


Из рисунков хорошо видно, что при увеличении задержки частотная характеристика содержит все большее число периодов повторения (гребенка увеличивается).

Каскадное соединение фильтра интегратора и гребенчатого фильтра. CIC фильтр первого порядка
Рассмотрим теперь каскадное соединение фильтра интегратора и гребенчатого фильтра. В результате получим CIC фильтр первого порядка, представленный на рисунке 10.


Рисунок 10: CIC фильтр первого порядка

Передаточная характеристика CIC фильтра равна произведению передаточных характеристик фильтра интегратора и гребенчатого фильтра:
(12)
Рассмотрим частотную характеристику CIC фильтра, как произведение частотных характеристик интегратора и гребенчатого фильтров:
(13)
При нулевой частоте и числитель и знаменатель частотной характеристики CIC фильтра (13) равны нулю. Раскроем неопределенность (13) при стремлении к по правилу Лопиталя:
(14)
Таким образом на нулевой частоте значение амплитудно-частотной характеристики равно задержке гребенчатого фильтра, и можно сделать вывод о том, что CIC фильтр представляет собой фильтр нижних частот. При этом необходимо сделать замечание: при , , т.е. CIC фильтр при является всепропускающим. На рисунках 11-14 приведены амплитудно- и фазочастотные характеристики CIC фильтра первого порядка при различной задержке гребенчатого фильтра.

Для просмотра SVG графики Вам необходимо обновить браузер


Для просмотра SVG графики Вам необходимо обновить браузер

Рисунок 11: АЧХ и ФЧХ CIC фильтра 1-го порядка при



Для просмотра SVG графики Вам необходимо обновить браузер


Для просмотра SVG графики Вам необходимо обновить браузер

Рисунок 12: АЧХ и ФЧХ CIC фильтра 1-го порядка при



Для просмотра SVG графики Вам необходимо обновить браузер


Для просмотра SVG графики Вам необходимо обновить браузер

Рисунок 13: АЧХ и ФЧХ CIC фильтра 1-го порядка при



Для просмотра SVG графики Вам необходимо обновить браузер


Для просмотра SVG графики Вам необходимо обновить браузер

Рисунок 14: АЧХ и ФЧХ CIC фильтра 1-го порядка при


При увеличении задержки CIC фильтр представляет собой фильтр нижних частот с частотой среза .

CIC фильтры высших порядков
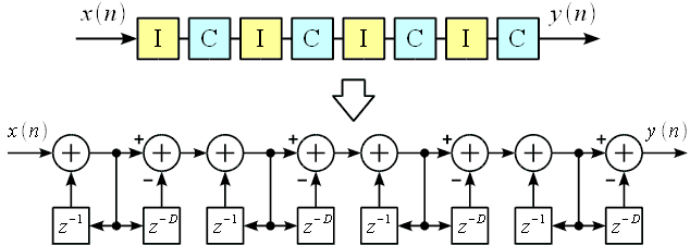
Необходимо отметить, что CIC фильтр первого порядка — очень неважный ФНЧ, так как уровень первого бокового лепестка составляет -13 дБ, что недопустимо много. Для увеличения подавления в полосе заграждения необходимо использовать CIC фильтры более высокого порядка, полученные каскадным включением нескольких интеграторов и гребенчатых фильтров. Например на рисунке 15 показан CIC фильтр 4-го порядка.


Рисунок 15: CIC фильтр 4-го порядка

Пусть порядок CIC фильтра равен , тогда каскад интеграторов гребенчатых фильтров будет иметь передаточные и частотные характеристики вида:
(15)
Тогда частотная характеристика CIC фильтра порядка равна:
(16)
Увеличение порядка CIC фильтра на единицу позволяет уменьшить уровень бокового лепестка на 11 … 13 дБ в зависимости от задержки . При этом коэффициент передачи на нулевой частоте CIC фильтра порядка равен . На рисунках представлены АЧХ CIC фильтров различного порядка при фиксированной задержке .

Для просмотра SVG графики Вам необходимо обновить браузер

Рисунок 16: АЧХ CIC фильтра 1-го порядка при



Для просмотра SVG графики Вам необходимо обновить браузер

Рисунок 17: АЧХ CIC фильтра 2-го порядка при



Для просмотра SVG графики Вам необходимо обновить браузер

Рисунок 18: АЧХ CIC фильтра 4-го порядка при



Для просмотра SVG графики Вам необходимо обновить браузер

Рисунок 19: АЧХ CIC фильтра 6-го порядка при


Давайте проанализируем полученные частотные характеристики. Коэффициент передачи на нулевой частоте можно трактовать как коэффициент усиления фильтра:
(17)
при увеличивается на 12 дБ с увеличением порядка фильтра на единицу. Кроме того увеличение порядка фильтра на единицу приводит к уменьшению уровня боковых лепестков на 11 .. 13 дБ. С одной стороны мы давим боковые лепестки, и это хорошо, но с другой получаем высокий коэффициент усиления, что требует увеличения количества разрядов цифрового представления сигнала, а это уже негативный эффект. Так например для фильтра шестого порядка при коэффициент усиления составляет 72 дБ, и это означает, что динамический диапазон сигнала увеличивается на 72 дБ, что соответствует дополнительным 12 разрядам цифрового представления. Таким образом если исходный сигнал имеет разрядность 16 бит, то обработка сигнала должна идти при 28- или более битном представлении, во избежание эффектов переполнения. Кроме того использование CIC фильтров с большими задержками приведет к еще более быстрому росту коэффициента усиления с увеличением порядка фильтра. Так, например, CIC фильтр 6-го порядка при задержке будет иметь коэффициент усиления , что требует дополнительных 19 разрядов представления сигнала.

Выбор разрядности при реализации CIC фильтров
При реализации CIC фильтра необходимо правильно выбрать разрядность вычислителя. При этом не допускается округление результатов интегрирования, поскольку это может привести к «неустойчивости» фильтра. Рассмотрим это на примере. Пусть имеется CIC фильтр 5-го порядка при задержке . Коэффициент усиления данного фильтра согласно (17) равен 60 дБ, что приводит к увеличению на 10 бит разрядности представления сигнала. Каскад фильтров - интеграторов производит накопление сигнала, поэтому для исключения переполнения произведем округление значений сигнала и перейдем к вычислениям с плавающей точкой. При этом рассмотрим импульсную характеристику заданного CIC фильтра при 16 битном (красный график рисунка 20) и 32 битном (синий график рисунка 20) вычислителях.


Для просмотра SVG графики Вам необходимо обновить браузер

Рисунок 20: Импульсная характеристика CIC фильтра при округлении результатов вычисления

Как следует из рисунка 20, при 32 битном представлении разрядной сетки достаточно чтобы обеспечить интегрирование без округлений. Однако при вычислении с 16 битной сеткой при интегрировании возникают округления, которые вносят ошибки при дальнейшем вычитании в гребенчатом фильтре, В результате ошибки округления приводят к «неустойчивости» фильтра. Важно понять что «неустойчивость» возникает не вследствие переполнения разрядности (16 бит с плавающей точкой вполне достаточно для представления чисел), а именно в результате округления при интегрировании. Таким образом, при реализации CIC фильтра необходимо отказаться от промежуточных округлений результатов интегрирования и использовать столько разрядов сколько требуется для точной целочисленной арифметики.При программной реализации можно обеспечить устойчивость CIC фильтра, если произвести перестановку интеграторов и гребенчатых фильтров как показано на рисунке 21.


Рисунок 21: Обеспечение устойчивости CIC фильтра при округлениях результата вычислений

В этом случае гребенчатый фильтр будет компенсировать рост значений сигнала на выходе интегратора и не допустит неустойчивости.

Выводы
Таким образом, в данной статье мы рассмотрели CIC фильтры, не требующие операций умножения. Показано, что CIC фильтры представляют собой фильтры нижних частот и их частотные характеристики зависят как от порядка фильтра, так и от параметра задержки гребенчатого фильтра. Дополнительно приведены выражения для коэффициента усиления CIC фильтра, и произведенный анализ показал необходимость увеличения разрядной сетки вычислительного устройства в зависимости от порядка фильтра. Кроме того показано негативное влияние эффекта округления при фиксированной разрядности вычислителя на характеристики фильтра.
В следующих разделах речь пойдет о практическом использовании CIC фильтра в задачах децимации и интерполяции цифрового фильтра

Любые вопросы и пожелания вы можете оставить в гостевой книге, на форуме, или прислать по электронной почте admin@23street.ru


Система Orphus
Любое копирование материалов сайта без разрешения автора запрещено.
Разработка и дизайн Бахурин Сергей.